गाजामा भएको इजरायली आक्रमणमा दस जनाको मृत्यु
- बैशाख २, २०८३
अमेरिकासँग बढ्दो व्यापार तनावका बिच कोरिया युद्धको समयमा माओ त्सेतुङको अमेरिकालाई चुनौती दिएको पुरानो क्लिप चिनियाँ टेलिभिजनमा प्रसारण भएपछि कर युद्धले अर्कै मोड लिएको विश्व जनमानसले अनुमान गरेका छन् । महत्वपूर्ण राजनीतिक र मनोवैज्ञानिक महत्व राख्ने चीनको यो निर्णय एक गहिरो प्रतीकात्मक कदम हो । यसको मूल कुरा भनेको यसले विदेशी दबाबको सामना गर्न एकताको लागि आह्वान गर्दछ । देश एक्लो र गरिब भए पनि शक्तिशाली बाह्य शक्तिहरूको सामना गरिरहेको त्यो समयको प्रतिनिधित्व गर्ने माओ चिनियाँ इतिहासको एक शिखर पुरुष हुन् । उनको छविलाई जगाएर चीनले विगतका द्वन्द्वहरू र वर्तमान चुनौतीहरूबिच समानता चित्रण गरिरहेको छ, जसले अमेरिकी मागसामु झुक्नुको सट्टा आर्थिक कठिनाइ सहन इच्छुक रहेको देखाउँछ । यसले चिनियाँ जनतालाई कठिन समयको लागि मनोवैज्ञानिकरूपमा तयार पार्नुको साथै देशभक्तिपूर्ण सहनशीलताको कथालाई प्रवद्र्धन गर्छ । अन्तर्राष्ट्रिय स्तरमा यो कदम संयुक्त राज्य अमेरिकाको अवज्ञाको सन्देश हो । यसले चीनले व्यापार युद्धलाई केबल आर्थिक मुद्दाको रूपमा मात्र नभई सार्वभौमिकता र राष्ट्रिय मर्यादाको विषयको रूपमा हेरेको सङ्केत गर्छ । दबाबमा पछि हट्नुको सट्टा, चाहे त्यसको जतिसुकै मूल्य चुकाउनुपरे पनि चीनले आफ्नो क्रान्तिकारी जरालाई आफ्नो बाटो आफैँ बनाउन आह्वान गरिरहेको छ ।
पारस्परिक महसुल : ट्रम्पको नयाँ परिभाषा
सामान्य भाषामा पारस्परिक महसुल (Reciprocal Tariff) भनेको यदि ‘क’ भन्ने देशले ‘ख’ भन्ने देशको उत्पादन आयातमा ३० प्रतिशत कर लगाउँछ भने, ‘ख’ भन्ने देशले पनि पनि ‘क’ भन्ने देशका उत्पादन आयातमा ३० प्रतिशत कर लगाउँछ । यो दुई देशबिचको व्यापारमा समान व्यवहारसँग सम्बन्धित हुन्छ । पारस्परिक महसुलको परम्परागत परिभाषा भनेको निष्पक्षता सुनिश्चित गर्न अर्को देशको महसुलसँग मिलान गर्नु हो । तर, ट्रम्पले यसलाई व्यापारिक शैली, मोलमोलाइ गर्ने तरिकाले पुनः परिभाषित गरे, जसमा करलाई अर्को देशले तोकेको वास्तविक कर दरसँग नभई व्यापार घाटासँग जोडे । डोनाल्ड ट्रम्पको ट्यारिफ रणनीति व्यापार असन्तुलनको सरल दृष्टिकोणबाट प्रेरित थियो । उनले चीनसँगको २९५ अर्ब डलरको व्यापार घाटालाई औँल्याए, जुन उनले चीनबाट हुने कुल आयातको ६८ प्रतिशत रहेको दाबी गरे । यसलाई अनुचित फाइदाको रूपमा हेर्दै ट्रम्पले खेल मैदानलाई समान बनाउन कथित असन्तुलनको आधामात्र भन्दै ३४ प्रतिशतको भन्सार शुल्क लगाउने प्रस्ताव गरे । यहीबाट सुरु भयो भन्सार महसुल दर बढाउने होडबाजी । यद्यपि, वास्तविक भन्सार दर योभन्दा धेरै न्यून छ । खासमा चीनले अमेरिकी सामानमा लगाएको महसुल दर ५ प्रतिशतदेखि २० प्रतिशत सम्ममात्र छ ।
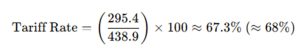
ट्रम्पको महसुल दर सूत्र
![]()
सन् २०२४ मा चीन र अमेरिकाबिच भएको वास्तविक व्यापार तथ्याङ्क
अमेरिकाले चीनबाट आयात गरेको ४३८.९ अरब अमेरिकी डलर
अमेरिकाले चीनमा निर्यात गरेको १४३.५
अमेरिकी व्यापार घाटा २९५.४
यी अङ्कलाई ट्रम्पको कथित महसुल दर सूत्रमा प्रतिस्थापन गर्दा,

यसरी चीनबाट आउने हरेक १ युनिटबाट अमेरिकाले शून्य दशमलव ६८ घाटा व्यहोर्नुपरेको भन्दै चीनमाथि ६८ प्रतिशत महसुल लगाउनुपर्नेमा ५० प्रतिशत छुट दिएर ३४ प्रतिशतमात्र कर लगाएको भन्दै अर्थशास्त्रीहरूले पनि नबुझ्ने ट्रम्पको भन्सार महसुल सूत्र प्रतिपादन भयो ।
कर समानीकरणमा आधारित परम्परागत पारस्परिकतासँग मिल्नुको सट्टा, ट्रम्पको दृष्टिकोणले व्यापार घाटालाई दण्डात्मक भन्सारको औचित्यको रूपमा व्यवहार ग¥यो । यसले ‘पारस्परिकता’ लाई कर नियमहरूमा नभई व्यापार सन्तुलनमा आधारित जरिवानामा परिणत ग¥यो । यो अन्तर्राष्ट्रिय व्यापार मापदण्ड र विश्व व्यापार सङ्गठनको सिद्धान्तहरूसँग बाझिन्छ । नियममा आधारित सहयोगलाई घाटा–आधारित प्रतिशोधले प्रतिस्थापन गरेर उनको नीतिले बहुपक्षीय व्यापारको जगलाई चुनौती दिए जसले गर्दा ठुलो आर्थिक अनिश्चितता र दीर्घकालीन अवरोधको जोखिम हुन्छ ।
चीनबाहेक धेरैजसो देशहरूका लागि कर अस्थायीरूपमा फिर्ता लिने ट्रम्पको निर्णय शक्ति प्रदर्शनको रूपमा डिजाइन गरिएको रणनीतिक कदम थियो । सहयोगीहरूलाई छुट दिएर र चीनलाई अलग गरेर, उनले आफूलाई एक कडा वार्ताकारको रूपमा स्थापित गरे जसले विश्वलाई आफ्नो सर्तहरूमा प्रतिक्रिया दिन बाध्य तुल्याए । विश्व नेताहरूलाई ‘भिक्षा माग्ने’ र ‘आफूले आफैँलाई ढाड थपथपाउने’ भन्ने उनको चित्रणले एक निडर सौदागारको रूपमा उनले आफ्नो छवि बनाउन चाहे । तर, चीन एक्लै अमेरिकासँग लडिरहेको छ । चीनको यो आत्मविश्वासको कारण उनको आत्मनिर्भर अर्थतन्त्र हो ।
चीनबाहेकका अन्य सामानहरूमा तीन महिनाको लागि कर निलम्बन गर्ने ट्रम्पको निर्णय सम्भवतः अमेरिकी शेयर बजारमा आसन्न रक्तपातको डरबाट प्रभावित भएको हुनसक्छ । बढ्दो व्यापार तनावप्रति बजारले तीव्र प्रतिक्रिया जनाएपछि लगानीकर्ताको विश्वास डगमगाएको थियो, जसले गर्दा अस्थिरता सिर्जना भयो । परिस्थितिलाई स्थिर बनाउन ट्रम्पले चीनमाथि दबाब कायम राख्दै अमेरिकी सहयोगीहरूप्रति आफ्नो अडान नरम पारे, जसले गर्दा बजारमा थप गिरावटको जोखिम नलिई आफूलाई बलियो भएको देखायो । यस्तो उल्टो परिस्थितिलाई व्यक्तिगत विजयको रूपमा प्रस्तुत गरेर उनले आर्थिक कमजोरीहरूबाट अमेरिकी जनताको ध्यान हटाइदिए ।
यसैबिच शेयर बजारमा Insider Trading ‘भित्री व्यापार’ जस्ता गैरकानुनी अभ्यासको माध्यमबाट ट्रम्पको भन्सार महसुल निलम्बनपछि शेयर बजारमा आएको उछालले उनका नजिकका सहयोगीहरूलाई असमानरूपमा फाइदा पु¥याएको आरोप लगाइएको छ । भित्री पहुँच भएका व्यक्तिहरूले नीति परिवर्तनको पूर्व जानकारीमा काम गरेको हुनसक्छ, जसले गर्दा सार्वजनिकरूपमा घोषणा हुनुभन्दा पहिले नै फाइदाहरू सुरक्षित गरेको आलोचकहरूले दाबी गरेका छन् । तीव्र बजार अस्थिरताले यो निर्णय पूर्णतया आर्थिकरूपमा नभई राजनीतिकरूपमा प्रेरित भएको शङ्कालाई बढावा दियो । घटनाले सरकारी पारदर्शितामा कमजोरीहरू र निजी लाभको लागि शक्तिको सम्भावित दुरूपयोगलाई उजागर ग¥यो, जसले ट्रम्प प्रशासनको समयमा गरिएका आर्थिक निर्णयहरूको निष्पक्षतामाथि सार्वजनिक शङ्कालाई गहिरो बनायो ।
व्यापार अवरोधहरू कम गर्ने र विश्वव्यापी आर्थिक सहयोगलाई प्रवद्र्धन गर्ने लक्ष्यका साथ विश्व व्यापार सङ्गठनले राष्ट्रहरूबिच स्वतन्त्र, निष्पक्ष र नियममा आधारित व्यापारको वकालत गर्दछ । यद्यपि, एकपक्षीय भन्सार, व्यापार घाटा र प्रतिशोधात्मक उपायहरूमा केन्द्रित ट्रम्पको दृष्टिकोणले यो ढाँचालाई कमजोर बनाएको छ । विभिन्न मुलकहरूले अमेरिकी करहरूबाट बच्न क्षेत्रीय विकल्पहरू खोज्दा लामो समयसम्म लाग्ने कर युद्धले विश्वव्यापी आपूर्ति शृङ्खलाहरू विखण्डित हुन्छ । यसले व्यापार दक्षता घटेर उत्पादन लागत बढाउँछ । अन्ततः विश्व बजारमा वस्तुको मूल्य बढेर सर्वसाधारण जीवन कष्टकर हुनेछ । ‘व्यापार युद्धमा कसैको जीत हुँदैन’ भन्ने चिनियाँ राष्ट्रपतिको भनाइ यहाँ सान्दर्भिक हुन्छ ।
Leave a Reply